cj대한통운 택배 파업이 2021년 12월 28일부터 무기한 진행 예정이라고 합니다.
노사간의 합의점을 찾지 못하면 cj대한통운을 이용하는 고객들의 불편이 클 것으로 예상됩니다.
해당 파업에는 전체 배송원이 참가하는 것은 아니며, 재직중인 배송원 2만명 중 조합원 1700여명이 파업에 참여할 예정이라고 합니다.
하지만 모든 배송원이 노조에 가입되어 있는 것은 아니므로 전 지역이 모두 파업에 동참하지는 않지만
노조원의 비율이 높은 상대적으로 높은 울산, 성남, 광주, 창원 등의 지역에서는 큰 차질을 빚을 것으로 예상됩니다.
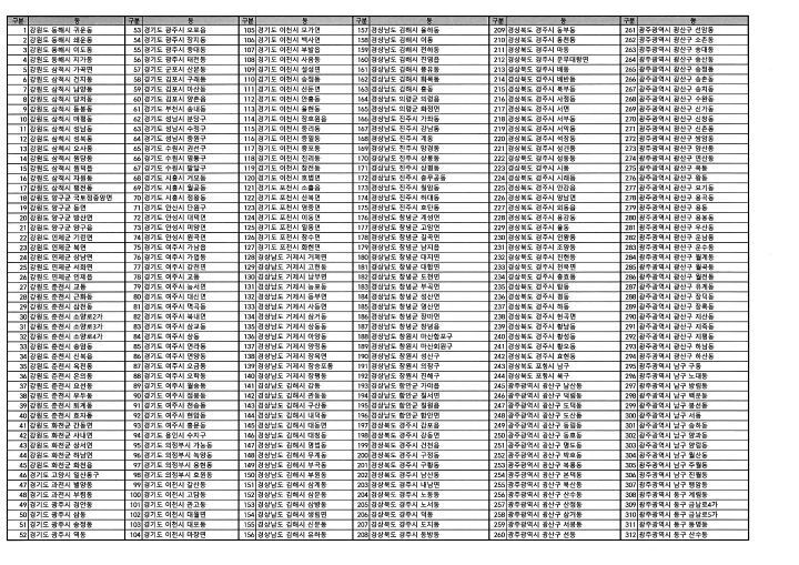
cj대한통운 택배 파업 지역 리스트 공유합니다.
아래 지역에 해당하는 곳들은 cj대한통운 택배 파업으로 인해 배송 지연 및 터미널 반송이 발생할 수 있습니다.
cj대한통운 택배 파업 지역 리스트 이미지가 잘 안보일 경우 하단 텍스트를 확인하시기 바랍니다.


cj택배 파업 리스트 - 서울
서울시 강서구 화곡동, 서울시 노원구 상계동, 서울시 노원구 중계동, 서울시 노원구 하계동, 서울시 양천구 신월동, 서울시 양천구 신정동, 서울시 중랑구 망우동, 서울시 중랑구 면목동, 서울시 중랑구 중화동, 서울시 송파구 잠실동, 서울시 송파구 석촌동, 서울시 강남구 논현동, 서울시 강남구 삼성동
cj대한통운 택배 파업 지역 리스트 - 경기도
성남시,수원시 , 안산시 , 안성시 , 여주시 , 용인시 , 이천시, 부천시, 의정부시 일부 지역, 시흥시 일부 지역
cj대한통운 택배 파업 지역 리스트 - 강원도
강릉시 , 동해시 , 삼척시 , 양구군 , 인제군 , 춘천시 , 화천군
cj택배 파업 지역 리스트 - 세종특별자치시
세종시 도당동, 세종시 연기면, 세종시 연동면, 세종시 한솔동, 세종시 합강동, 조치원읍
인천광역시
옹진군
광주광역시
광산구 , 남구 , 동구 , 북구
대구광역시
달서구 , 북구
대전광역시
유성구
부산광역시
남구, 연제구, 강서구
cj대한통운 택배 파업 - 울산광역시
남구 , 동구 , 북구 , 중구 , 울주군
cj대한통운 택배 파업 - 전북(전라북도)
군산시 , 익산시 , 전주시, 정읍
충북(충청북도)
음성군 , 제천시 , 청주시, 진천군
경북(경상북도)
경주시
cj대한통운 택배 파업 - 경남(경상남도)
거제시 , 김해시 , 진주시 , 창녕군 , 창원시 , 함안군
제주도
제주시
12.30 목 cj대한통운 배송불가지역 업데이트 (cj대한통운 출력제한 리스트)

같이 보면 좋은 글
[뉴스] - 엔시티 지진 논란..제주 지진에 지진 노래 불렀다? (+ 논란된 라이브 내용, NCT 사과문 추가)
엔시티 지진 논란..제주 지진에 지진 노래 불렀다? (+ 논란된 라이브 내용, NCT 사과문 추가)
엔시티 지진 논란, 엔시티 지진 논란 라이브 내용, 제주 지진 엔시티 논란 엔시티 지진 논란이 화두에 오르고 있습니다. 그룹 엔시티(NCT) 멤버 마크,도영,쟈니가 컴백 라이브 중 14일 오후 제주 지
do-info.tistory.com
'뉴스' 카테고리의 다른 글
| 청년희망적금 가입대상 조건, 방법, 소득요건, 렉 걸릴 때 오류 꿀팁(미리보기 안했어도 가입 가능) (0) | 2022.02.22 |
|---|---|
| 오미크론 대응단계 PCR대상 제한, 방역패스 백신패스 받는 방법 (+전국 실시 일정) (0) | 2022.01.27 |
| 투피엠 찬성 혼전임신, 결혼 발표.. 투피엠 해체? 재계약 안 한다 (황찬성 나이, 2PM 재계약) (0) | 2021.12.15 |
| 도지코인 상승 이유와 전망 : 테슬라 관련 결제 수단으로 도지코인 채택 ( + 일론 머스크 트위터) (1) | 2021.12.14 |
| 엔시티 지진 논란..제주 지진에 지진 노래 불렀다? (+ 논란된 라이브 내용, NCT 사과문 추가) (0) | 2021.12.14 |
- Total
- Today
- Yesterday
- 화성시청역 서희스타힐스 4차 숲속마을
- 청약홈
- 미국 대선 결과
- 구미 아이파크 더샵
- 감일 푸르지오 마크베르
- 판교밸리자이
- 바이든 당선
- 서울 아파트 분양
- 이낙연 관련주
- 완주 삼봉지구 우미린 에코포레
- 빅히트엔터테인먼트
- 중산자이 2단지
- 반정 아이파크 캐슬 5단지
- 청약방법
- 과천 르센토 데시앙
- 빅히트 전망
- 망우역 신원아침도시
- 아산칸타빌센트럴시티
- 카이저 아파트
- 서울 아파트 분양 일정
- 김해 주촌 일동미라주 더 네스트
- 과천 푸르지오 어울림 라비엔오
- 대청천 경동리인 뷰
- 방탄소년단
- 과천 푸르지오 오르투스
- 수유동 북한산 스카이뷰 아파트 평택 동문 굿모닝힐 맘시티 2차
- 진천 교성지구 풍림아이원 트리니티
- 반정 아이파크 캐슬 4단지
- 광양 세미존서희스타힐스
- 행정중심복합도시 1-1생활권 M8블럭 세종 한림풀에버
| 일 | 월 | 화 | 수 | 목 | 금 | 토 |
|---|---|---|---|---|---|---|
| 1 | 2 | 3 | 4 | |||
| 5 | 6 | 7 | 8 | 9 | 10 | 11 |
| 12 | 13 | 14 | 15 | 16 | 17 | 18 |
| 19 | 20 | 21 | 22 | 23 | 24 | 25 |
| 26 | 27 | 28 | 29 | 30 |